UN 2015 Paket 1
Perhatikan gambar gelombang longitudinal pada pegas berikut ini!
Bila frekuensi gelombang 30 Hz, maka cepat rampat gelombang adalah ….
A. 25 m/s D. 10 m/s
B. 15 m/s E. 6 m/s
C. 12 m/s
UN 2015 Paket 2
Gambar di bawah menunjukkan getaran yang berasal dari garpu tala beresonansi dengan udara pada kolom udara (pipa).
Jika jarak dari P ke Q = 75 cm dan jarak itu ditempuh gelombang dalam waktu 1,5 s, maka cepat rambat gelombang pada kolom udara adalah ....
A. 2,5 cm.s-1 D. 25,0 cm.s-1
B. 5,0 cm.s-1 E. 50,0 cm.s-1
C. 15,0 cm.s-1
UN 2015 Paket 1
Persamaan simpangan gelombang berjalan y = 10 sin p(0,5 t – 2 x). x dan y dalam meter dan t dalam sekon. Diperoleh data sebagai berikut:
(1). Frekuensi gelombang = 1/4 Hz
(2). Periode gelombang = 4 sekon
(3). Panjang gelomban = 1 m
(4). Cepat rambat gelombang = 4 m.s-1
Pemyataan yang benar adalah
A. (1), (2), dan (3) D. (2) dan (3) saja
B. (1), (2), dan (4) E. (3) dan (4) saja
C. (1) dan (2) saja
UN 2015 Paket 2
Persamaan gelombang berjalan y = 2 sin 2π (t/0,01 – x/30) dengan x dan y dalam cm dan t dalam sekon. Dari nilai-nilai besaran berikut:
(1) Amplitudo gelombang 2 cm
(2) Frekuensi gelombang 50 Hz
(3) Panjang gelombang 0,3 cm
(4) Cepat rambat gelombang 3.000 cm.s-1
Pernyataan yang benar untuk besaran gelombang di atas ndalah ....
A. (1) dan (2) D. (2) dan(4)
B. (1) dan (4) E. (3) dan (4)
C. (2) dan (3)
UN 2016 Paket 1
Sebuah gelombang berjalan dengan persamaan y: 0,04 sin p(40t + 2x) m. Pernyataan yang berkaitan dengan persamaan gelombang sebagai berikut:
(1) Frekuensi gelombang = 20 Hz.
(2) Panjang gelombang = 2 m.
(3) Gelombang menjalar dengan kecepatan 20 m.s-1.
(4) Simpangan gelombang 0,1 m pada posisi x = 5/2 m dan saat t = 1/10 sekon
Pemyataan yang benar adalah ....
A. (1) dan (2)
B. (1) dan (3)
C. (2) dan (3)
D. (2) dan (4)
E. (3) dan (4)
UN 2016 Paket 2
Persamaan gelombang berjalan pada tali sebagai berikut y = 0,8 sin π(20t – x/5) dengan x dan y dalam meter dan t dalam sekon dapat di simpulkan bahwa :
(1) Frekuensinya 0,1 Hz
(2) Panjang gelombang 10 m
(3) Amplitudo gelombang 8 cm
,(4) Cepat rambat 100 m.s-1
Pemyataan yang benar adalah ....
A. (1) dan (2)
B. (1) dan (3)
C. (1) dan (4)
D. (2) dan (3)
E. (2) dan(4)
UN 2011 Paket 25
Sebuah gelombang berjalan di permukaan air memenuhi persamaan y = 0,03 sin 2p(60t – 2x), y dan x dalam meter dan t dalam sekon. Cepat rambat gelombang tersebut adalah ….
A. 15 m.s-1
B. 20 m.s-1
C. 30 m.s-1
D. 45 m.s-1
E. 60 m.s-1
UN 2016
Seutas senar yang panjangnya 2 m diikat salah satu ujungnya dan ujung lainnya digetarkan dengan vibrator sehingga terbentuk 5 simpul gelombang stasioner. Letak perut ke dua dari ujung pantul adalah ....
A. 1/4meter D. 3/2 meter
B. 3/4 meter E. 7/4 meter
C. 1 meter
UN 2013 Seri 1
Pada gelombang air luat terdapat dua buah gabus yang terpisah satu dengan lainnya sejauh 200 cm. Keduanya turun naik dengan frekuensi 4 Hz. Bila salah satu gabus berada di pincah gelombang, yangsatunya berada di puncak gelombang yang lain, sedangkan di antara kedua gabus terdapat satu bukit gelombang. Panjang gelombang dan cepat rambat gelombang tersebut berturut-turut adalah ….
A. 0,5 m dan 2 m/s
B. 2 m dan o,5 m/s
C. 1 m dan 0,25 m/s
D. 1 m dan 4 m/s
E. 4 m dan 4 m/s
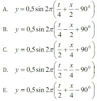
UN 2012 Paket A81, B74, C61, D47 & E35
Gambar di bawah ini menyatakan perambatan gelombang tali
Jika periode gelombang 2 sekon, maka persamaan gelombangnya adalah ….
UN 2011 Paket 25
Gelombang di permukaan air diidenfikasi pada dua titik seperti gambar,
Persamaan gelombang dengan arah rambatan dari A ke B adalah ….
UN 2012 Paket A81
Dari besaran-besaran berikut :
(1) gaya tegangan tali
(2) massa per satuan panjang tali
(3) luas penampang tali
(4) warna tali
Besaran-besaran yang merupakan faktor yang mempengaruhi cepat rambat gelombang pada tali adalah ....
A. (1) dan (2)
B. (1) dan (4)
C. (2) dan (4)
D. (3) dan (4)
E. (1) saja
UN 2012 Paket B74
Perhatikan besaran pada kawat berikut ini!
(1) gaya tegangan kawat
(2) warna kawat
(3) massa persatuan panjang kawat
(4) panjang kawat
Besaran-besaran yang mempengaruhi kecepatan rambat gelombang pada kawat adalah ....
A. (1), (2), (3), dan (4)
B. (1), (2), dan (3)
C. (1), (3), dan (4)
D. (1) dan (3) saja
E. (4) saja
UN 2012 Paket C61 & D47
Perhatikan besaran-besaran berikut:
(1) gaya tegangan tali
(2) volume pada tali
(3) massa tiap satuan panjang
(4) warna tali
Faktor-faktor yang mempengaruhi cepat rambat gelombang pada tali adalah ....
A. (1) saja
B. (1) dan (3)
C. (2) dan(4)
D. (3) dan (4)
E. (2), (3), dan (4)
UN 2012 Paket E35
Perhatikan faktor-faktor berikut!
(1) memperbesar massa jenis kawat
(2) memperpanjang kawat
(3) memperbesar tegangan kawat
(4) memperbesar ukuran kawat
Faltor-faktor yang dapat mempercepat perambatan gelombang pada kawat adalah ....
A. (1), (2), (3), dan (4)
B. (1), (2), dan (3)
C. (3) dan (4)
D. (1) saja
E. (3) saja





0 Response to "Kumpuan Soal UN Materi Gelombang"
Post a Comment